资源中心
提高企业管理质量,为工人朋友提供安全保障!
陕西省煤矿工业视频安装联网及系统功能
为进一步加强煤矿危险区域、关键场景、重要点位的管理,构筑“无视频监控不作业、作业行为受监督”的作业现场可视化环境,杜绝违章作业、防范遏制煤矿生产安全事故发生,陕西省行政区域内所有煤矿需要完成工业视频安装及AI智能识别分析系统。以下为视频安装位置及系统异常识别功能:
(一)井工煤矿的工业视频安装位置主要包括采煤工作面、掘进工作面、主运输、辅助运输、井下重大灾害治理点、井下主要硐室以及地面重大灾害治理点等区域场所。
(二)在井工煤矿采掘工作面 T0、T1、T2甲烷传感器,以及煤与瓦斯突出矿井采掘工作面的T4甲烷传感器附近安装的摄像仪,应能够清晰监控甲烷传感器的安装位置和数据采集状态,并24小时连续监控。
(三)在井工煤矿开采自燃及容易自燃煤层时,采煤工作面回风顺槽内的一氧化碳传感器附近安装的摄像仪,应能够清晰监控传感器的安装位置和数据采集状态,并24小时连续监控
(四)移动作业点摄像仪的使用位置主要包括井下探放水作业、瓦斯抽采作业、防突措施作业、冲击地压泄压作业,地面瓦斯抽采作业、地面防灭火作业等灾害治理场景,以及灾害治理效果检验场景。
(五)露天煤矿的工业视频安装位置主要包括调度室、采坑,排土场、主要进出口、主要运输路段急弯处、重要机电设备安装地点等场所。

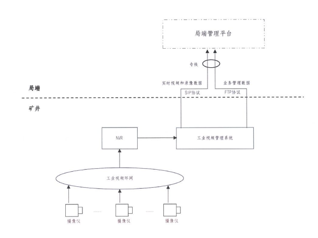
系统支持实时预览、视频存储、录像回放、云台控制等功能,支持多种轮巡方式和多种窗口布局方案。支持多种检索方式及播放控制方式,播放控制支持多轨同步播放,支持标签编目以及检索。系统优先采用具备多网口多网卡的主机服务器同一主机服务器应具备向不同平台同时传输视频流、录像流的功学
系统具备摄像仪管理、摄像仪安装位置维护监控点位维护、录像查询、摄像仪挪移运维日志等业务信息化管理功能。
系统具备画面质量异常、作业场景异常AI识别能力,涵盖模型管理、模型下发、智能分析配置、抓图计划配置等智能分析管理功能
(一)所有监控点位应具备视频遮挡、图像过暗、视频丢失图像模糊、场景变更、画面冻结、画面抖动、分辨率异常等画面质量异常识别能力,并将异常事件联网上传。
(二)根据各安装位置的业务场景及监控要求,应建设人员计数、煤流检测、人员跨越皮带和车辆逗留等4类作业场景AI识别能力,以及传感器包裹、未佩戴安全帽、非法闯入、空岗、睡岗、密闭墙启封、烟雾预警、火光预警等8类作业场景异常AI识别能力,并实现异常告警及事件联网上传。该条款对露天煤矿暂不做要求。